九旬患者呼吸衰竭命悬一线 德州市第七人民医院力挽狂澜获致谢

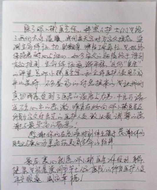
鲁网10月29日讯(记者 吴美琳 实习记者 费书慧)10月23日,一封饱含深情的感谢信送到了德州市第七人民医院党委委员、呼吸与危重症医学科主任邓小彬手中。信中,90岁患者徐先生(化名)的家属字字恳切,向邓小彬及全体参与救治的医护团队表达由衷感激——正是这支团队,在老人生命垂危之际挺身而出,用专业与责任为其筑起“生命防线”。

危急入院:九旬患者呼吸衰竭 家属陷入绝望

不久前,90岁的徐先生因突发重病被紧急送往德州市第七人民医院。据家属回忆,入院时老人已出现严重呼吸衰竭症状,意识模糊不清,无法正常应答,血氧饱和度持续处于低位,心率、血压等生命体征更是极不稳定,老人情况危急,随时可能出现意外,患者家属心里又慌又怕,完全没了主意。就在家属被恐惧与无助包围时,邓小彬的出现,让他们看到了希望。

“就在我们手足无措之际,主任医师邓小彬像定心丸一样出现在我们面前,您没有因为家父病情危重而有丝毫犹豫,反复研究各种治疗方案,查看检查报告,仔细分析病情,耐心讲解治疗方案。”家属在信中这样描述当时的场景。

全力救治:精细研判定方案 支气管镜治疗显疗效

面对徐先生复杂且危重的病情,邓小彬带领团队梳理患者的检查结果,结合老人高龄、基础疾病多等特点,反复讨论治疗方案的可行性与风险。经过数轮严谨分析与风险评估,邓小彬团队最终下定决心,为徐先生实施支气管镜治疗。治疗过程中,医护团队紧盯监护仪上的各项指标,从呼吸频率的细微波动到血氧饱和度的每一次变化,都实时记录、及时调整操作节奏,确保治疗安全有序推进。

术后,邓小彬对徐先生的病情仍时刻牵挂,每天多次到病房查房。他不仅关注老人的体温、心率等关键生命体征,还会细心询问护理人员老人的进食量、睡眠质量,观察其精神状态的细微改变。

病情好转:生命体征趋稳 家属致谢表敬意

在邓小彬团队的精心救治与悉心护理下,徐先生的病情逐渐迎来转机,老人的血氧饱和度恢复至正常范围,呼吸变得平稳,意识逐渐清醒,精神状态日益好转,各项生命体征已基本平稳,目前正朝着康复方向稳步迈进。家属在感谢信中动情地说,“千言万语也道不尽心中的感激,唯有向邓小彬团队及德州市第七人民医院致以最崇高的敬意!”面对家属的感谢,邓小彬表示:“守护患者健康是医护人员的本职工作,看到老人能顺利康复,就是对我们最大的肯定。未来,医院将继续秉持‘以患者为中心’的理念,用更专业的技术、更贴心的服务,为群众的健康保驾护航。

责任编辑:霍艳英

相关文章